Matematik tambahan tingkatan 4 bab 10, matematik tambahan tingkatan 4 buku teks, matematik tambahan tingkatan 4 latihan, matematik tambahan tingkatan 4 pdf, matematik tambahan tingkatan 4 kbsm, matematik tambahan tingkatan 4 bab 10, matematik tambahan tingkatan 4, matematik tambahan, matematik tambahan spm 2021, matematik tambahan tingkatan 4 latihan,
Matematik Tambahan Tingkatan 4 Bab 1 Kssm
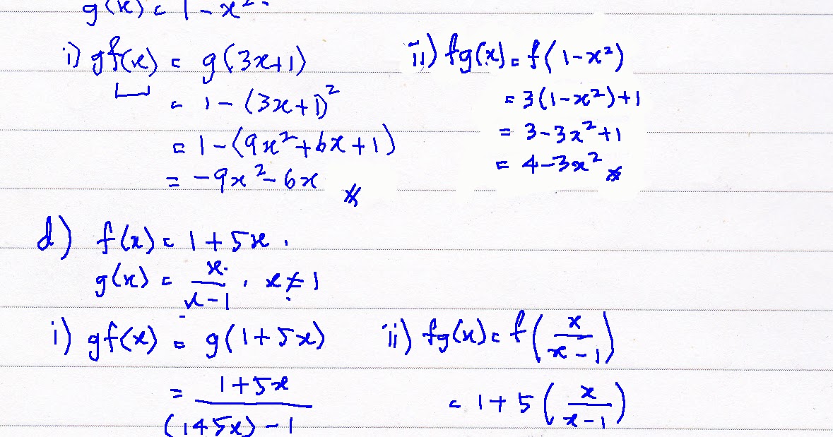
Matematik Tambahan Tingkatan 4 Bab 1 Kssm. Bab 1 fungsi bab 2 fungsi kuadratik bab 3 sistem persamaan bab 4 indeks suds dan logaritma bab 5 janjang. Video ini menerangkan maksud fungsi gubahan dan menerangkan beberapa jenis soalan yang biasa dijumpai untuk 1.2 fungsi gubahan.

Kaedah latih tubi bertujuan untuk menyediakan latihan dan peneguhan secukupnya kepada murid .
Memetakan setiap unsur x ∈ x kepada hanya satu unsur . Kaedah latih tubi bertujuan untuk menyediakan latihan dan peneguhan secukupnya kepada murid . Bab 1 · bab 2 · bab 3 · bab 4 · bab 5 · bab 6 · bab 7 · bab 8 · bab 9. Fungsi dari set x kepada set y ialah hubungan khas yang.